Influence of planetary gas accretion on the shape and depth of gaps in protoplanetary discs
C. Bergez-Casalou, B. Bitsch, A. Pierens, A. Crida, S.N. Raymond
Nov. 2020 - published in A&A - arxiv:2010.00485
Paper Abstract
It is widely known that giant planets have the capacity to open deep gaps in their natal gaseous protoplanetary discs. It is unclear,
however, how gas accretion onto growing planets influences the shape and depth of their growing gaps. We performed isothermal
hydrodynamical simulations with the Fargo-2D1D code, which assumes planets accreting gas within full discs that range from 0.1 to
260 AU. The gas accretion routine uses a sink cell approach, in which different accretion rates are used to cope with the broad range
of gas accretion rates cited in the literature.
We find that the planetary gas accretion rate increases for larger disc aspect ratios and
greater viscosities. Our main results show that gas accretion has an important impact on the gap-opening mass: we find that when the
disc responds slowly to a change in planetary mass (i.e., at low viscosity), the gap-opening mass scales with the planetary accretion
rate, with a higher gas accretion rate resulting in a larger gap-opening mass. On the other hand, if the disc response time is short (i.e.,
at high viscosity), then gas accretion helps the planet carve a deep gap. As a consequence, higher planetary gas accretion rates result
in smaller gap-opening masses.
Our results have important implications for the derivation of planet masses from disc observations:
depending on the planetary gas accretion rate, the derived masses from ALMA observations might be o by up to a factor of two. We
discuss the consequences of the change in the gap-opening mass on the evolution of planetary systems based on the example of the
grand tack scenario. Planetary gas accretion also impacts stellar gas accretion, where the influence is minimal due to the presence of
a gas-accreting planet.
Context and setup
In this paper we study the formation of giant planets in gaseous protoplanetary discs. When we observe protoplanetary discs, with the ALMA antennas, or the SPHERE telescope for examples, we can see gaps and rings in the dust. One of the possible explanations for the presence of these gaps is the presence of a massive planet in the gap: indeed, when a planet is massive enough, it can push the material it's embedded in away from its orbit. This way, we can predict the presence of planets indirectly (without seeing them directly, which can become pretty complicated when the planet is embedded in the disc). In order to derive the properties of the planet from the observations of gaps then we need criteria to link the planet mass to the gaps caracteristics (mostly the depth and/or width). Such criteria have been derived before, where you can calculate the planet mass needed to create a gap of a given depth, knowing some disc parameters (see the paper for references). These previous studies assume a planet of fixed mass and a steady state disc. However we know that the system is evolving with time: the planet is accreting gas, the disc is viscously evolving etc... That's why here we study the gap shape created by accreting planets. As the planetary gas accretion rate is not well constrained yet, we looked at how the gap was evolving when the planet is accreting at different rates. In order to do this we use hydrodynamical simulations:

Initially: We consider an initial planet core of 20 Earth masses accreting gas in the runaway gas accretion phase (quick accretion gas phase). It is embedded in a gaseous disc simulated in 2 dimensions (R,phi) (see the first video below). The planet is accreting gas by removing mass from the disc and adding it to the planet. Output: When the planet becomes massive enough, it pushes away the gas present in its orbit, creating a gap in the disc. We monitor as a function of time the accretion rate of the planet, its mass and the depth of its gap, as you can see on the second video below.
Main result
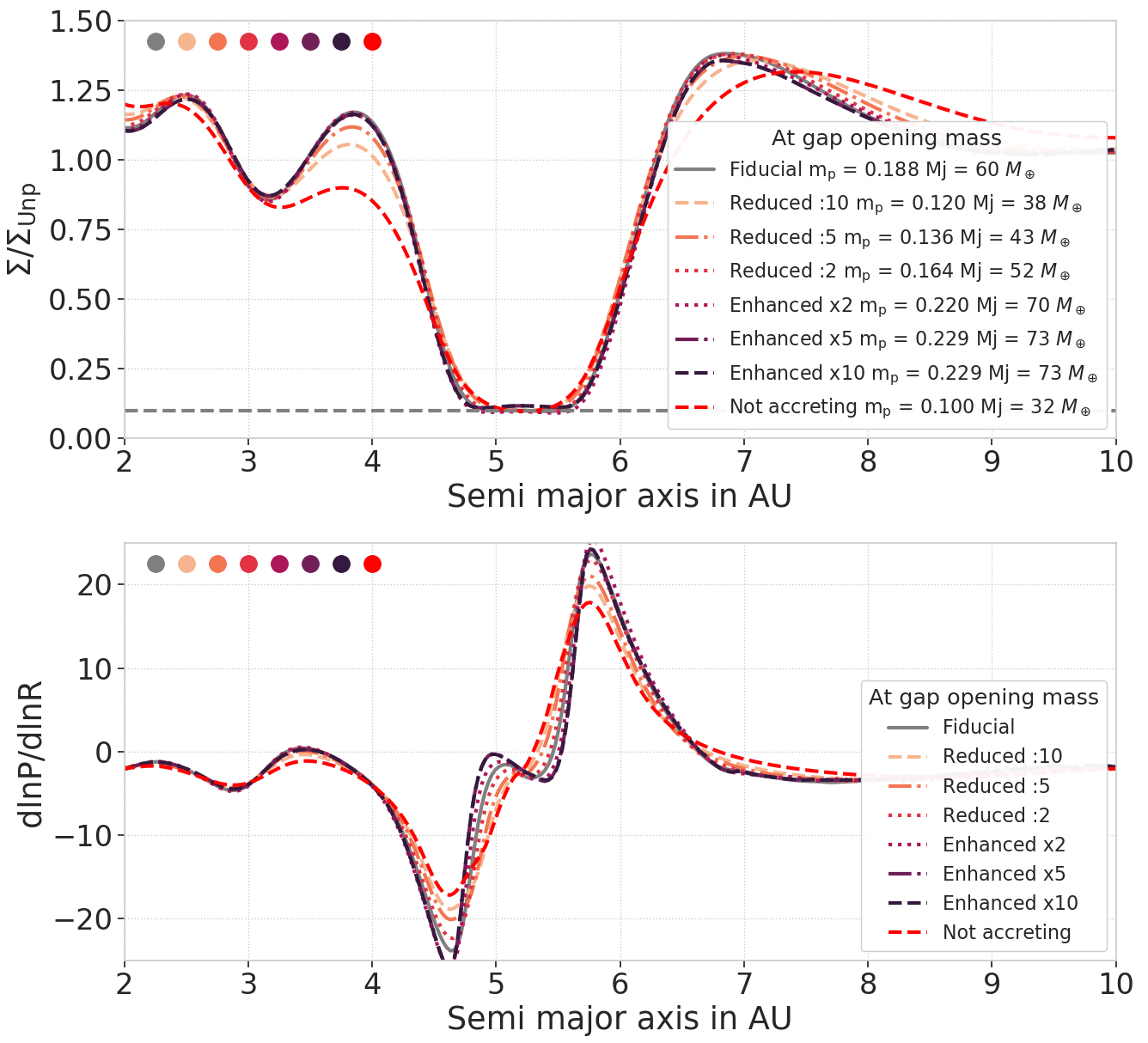
Our main result shows that the effect of the planet gas accretion on the gap opening mass depends on the viscosity of the disc, as can be seen on the plots below. The plot on the right shows the gap opening mass as a function of the alpha viscosity (x axis) and the aspect ratio (each panel) of the disc.
- At high viscosity: gas accretion helps carving a deeper gap - a planet presenting a higher accretion rate will have a smaller gap opening mass.
- At low viscosity: gas accretion prevents from carving a deeper gap - a planet presenting a higher accretion rate will have a larger gap opening mass.
- Peculiar case: it exists a viscosity for which gas accretion onto the planet doesn't have an impact on the gap opening mass.
This has an important impact especially at low viscosity on observations for example. To derive masses from observations of discs, it is common to measure the width and depth of gaps and deduce from the gap shape what planet mass is needed to produce it. However we show that at low viscosity similar gap shapes can be produced by planets of different masses depending on their gas accretion rates. In our parameter space, we show that the masses of the planets can be off by up to a factor 2, as can be seen on the plot on the left below.


Other consequences
Dynamics of multiple accreting planets : As the gap opening mass is dependent on the planet gas accretion rate, then its migration profile will be impacted by the moment when the planet will reach gap opening mass. This can have then an important consequence on the structure of planetary systems. We will study in a following project how the simultaneous formation of two giant planets is impacted by such gas accreting rates. Impact on the stellar accretion rate : It can be expected that the gas accretion onto the planet will impact the gas accretion onto the host star. However we showed that the even if the stellar gas accretion rate is indeed influenced by the planetary accretion rate, it only has a small impact on it. We compare this result to other studies that showed that the planet accretion rate has a strong impact on the stellar accretion rate. We concluded that the way the flow of gas is simulated highly impacts the results.